天堂之歌

听歌而来,送我踏青云〜

CFA问答

CFA问答

CFA问答包含CFA在线课程、CFA通关课程、CFA试题等所有CFA相关问题,每个问题老师均会在24小时内给出答疑回复哦!

专场人数:0提问数量:0

公司百题 38,老师 付款利率>市场利率是付款还是不付?我有点混淆 帮我顺一下。另外这道题公式对吗?我不会计算求r 麻烦帮我写一下步骤

已回答

请问这里的Combined ratio after dividends是越低越好还是越高越好呢?感觉Conmbined ratio越低越好,但是dividends ratio越高越好感觉有冲突,谢谢。

已回答

讲义中的EMH是什么缩写?

已回答

31题,capitai与liability 不一样为什么这里可以相互替代,是因为题目没有单独给debt吗?

已回答

经营租赁新考纲BS表已经有ROU了,为什么做题都是按照老考纲的BS什么都没有记录,只有IS有记录,那考试的时候还是按照老考纲来做题吗?

已回答

租赁知识 为什么融资租赁负债叫做lease payable,经营租赁叫做lease payment ?这两个称呼的本质不一样吗?

已回答

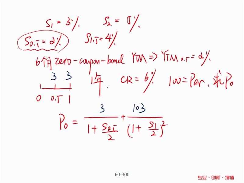
不是前一年的利率决定后一年的吗?怎么这里直接用当年的?

已回答

这道题不是很清楚,在解释一下。还有就是答案中的10是怎么算出来的

已回答

如果是独立计算管理费和激励非,是不是就360与357直接比较?

已回答

如果是独立计算管理费和激励非,是不是就360与357直接比较?

已回答

精品推荐

400-700-9596
(每日9:00-21:00免长途费 )

©2025金程网校保留所有权利

X

注册金程网校

验证码

同意金程的《用户协议》
直接登录:

已有账号登录