天堂之歌

听歌而来,送我踏青云〜

CFA问答

CFA问答

CFA问答包含CFA在线课程、CFA通关课程、CFA试题等所有CFA相关问题,每个问题老师均会在24小时内给出答疑回复哦!

专场人数:0提问数量:0

accrued expenses 是不是在资产负债表和利润表上都有?

查看试题 已回答

视频老师说,构建组合组的时候,同一个股票可以出现在两个组合里面。那不会导致业绩重复展示吗?

已回答

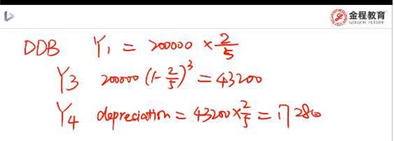
第四年为什么不是43200*(1-2/5)4次方?

查看试题 已回答

ppt103页视频中和下载的不太一样,是有调整吗?下的课件FFO计算写的是G/L from sales property anddebt restructuring.

已回答

老师您好,我参加了5月三级的考试觉得Alternative这部分笔记薄弱欠缺。想请老师帮忙分析一下今年11月这部分的复习策略。这部分该着重练习上午题还是下午题?谢谢

已回答

我看老师说 “这里林地是属于自然资源,并不属于这里的任何一种。 在2022的新考纲下,有新的分类体系,林地和大宗商品都属于自然资源下的一种哦” 这会影响今年考试吗

查看试题 已回答

请问老师FIFO的结论是一样指的是Ending inventory是一样的吗?还是指别的?这Periodic和Perpetual的表并不是完全一样?

已回答

讲解13分钟以后,讲到第三个问题,说的是此问题是非监督学习,而CART是监督学些,我想问一下这个地方监督OR非监督是怎么判断得?

查看试题 已回答

中心极限定理不是要求n≥30咩?为什么这里的标准误可以直接适用central limit theory?

已回答

repeat sales 只对有交易的房产重新估值,不是低估了波动性吗

查看试题 已回答

精品推荐

400-700-9596
(每日9:00-21:00免长途费 )

©2026金程网校保留所有权利

X

注册金程网校

验证码

同意金程的《用户协议》
直接登录:

已有账号登录