
-
CFA二级
包含CFA二级传统在线课程、通关课程及试题相关提问答疑;
专场人数:2443提问数量:55533
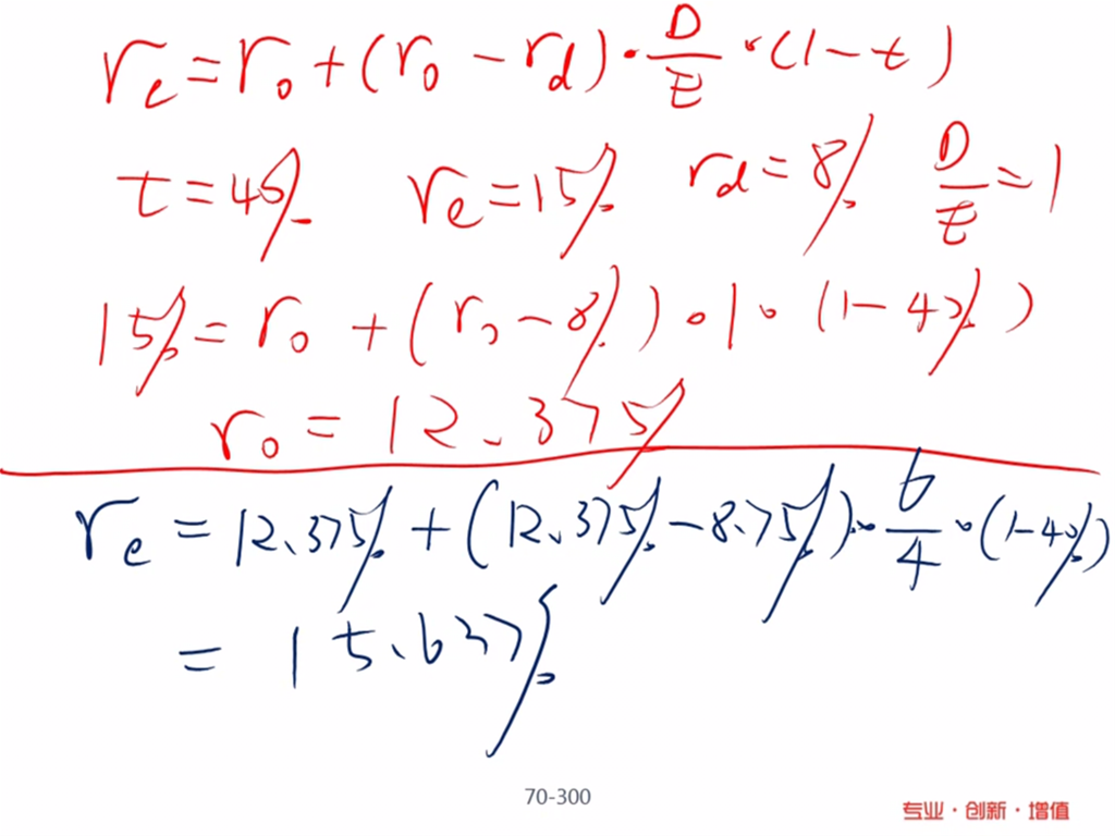
老师 百题case8的第四题我没懂为什么我们要求 r0, r0 不是在100% equity financed 时候 = rwacc 吗?可是题目中一直都不是 100% equity financed 的呀
老师,请问riding the yield curve是不是指forward rate大于spot rate是曲线是向上倾斜的?这道题里比较的是expected future spot rate 和forward rate我就不是很懂了,老师讲的country B的情况,expected future rate大于forward rate曲线是向上倾斜?为什么啊
精品问答
- Growth due to capital deepening 是αΔK/K还是ΔK/K
- 这题为什么是选C?
- 请老师讲解一下这个题目
- 老师,第二题可以在解释一下原理吗?
- 老师,第三题答案的意思是:1.因为宽松的货币政策,导致加元利率下跌,导致加元贬值?2.但是,如果利率下跌,也就是分母上的百分比下降,不是会导致价格上升吗?。3.从而短期看是depreciation,但是长期来看,会回归到均值,所以是appreciation?
- CDS的long和short是不是反过来的?就是long CDS代表看涨目标公司credit,所以是卖出一份CDS合约?
- 很迷惑到底是long call+ short stock还是long stock+short call构建无风险资产
- 为啥accrued interest over contract life是0?









