
-
CFA二级
包含CFA二级传统在线课程、通关课程及试题相关提问答疑;
专场人数:2444提问数量:55544
1. 一图 ppt 73 是说使用DW方法检测log linear trend model 是否有自相关么? 如何检测啊?2. 二图 ppt 81 倒数第二个黑点 关于t-s 是什么意思?3. 二图 ppt 80 如果验证是随机游走的,cov 不是为不稳定的么?4. 图三 ppt 84 最下面这个式子 哪个是seasonal lag ?5. 图三 ppt 85 样本内数据和样本外数据 这两句话分别什么意思? 6. 图三ppt 87 第一句话,这里的线性回归指的是哪个?麻烦再帮我们罗列下 一元回归 多元 趋势线性 和时间序列的关系 ?7. 图三ppt 87 多组是否可做回归,这个回归指的什么回归?
想问一下关于三种方法下equity大小的问题 acquisition下增加了100%equity(包含minority interest)我能理解是最大的 那proportion增加了80%的equity 会小一点 也ok 那权益法它没有并表 为什么equity会跟proportion一样呢? 跟NI结转至retained earnings有关系吗?
精品问答
- Growth due to capital deepening 是αΔK/K还是ΔK/K
- 请老师讲解一下这个题目
- 老师,第三题答案的意思是:1.因为宽松的货币政策,导致加元利率下跌,导致加元贬值?2.但是,如果利率下跌,也就是分母上的百分比下降,不是会导致价格上升吗?。3.从而短期看是depreciation,但是长期来看,会回归到均值,所以是appreciation?
- 很迷惑到底是long call+ short stock还是long stock+short call构建无风险资产
- 这道题可不可以用算出来的fpa除以0.9算出的价格和125比较,得出的差额是套利的利润?
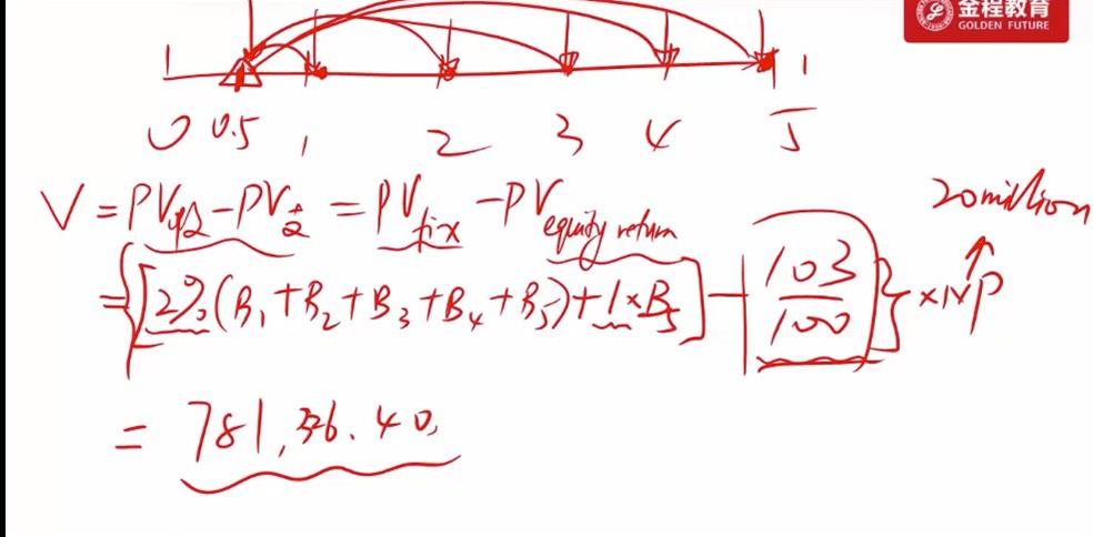
- 不太明白为什么AI0 20 加上后 后面AIT 是减50, 为什么要重复计算0~T=2 这段的coupon?
- 第4题 讲义没有讲到,能在详细讲一下吗
- 这题为什么是选C?












