天堂之歌

听歌而来,送我踏青云〜

CFA一级

CFA一级

包含CFA一级传统在线课程、通关课程及试题相关提问答疑;

专场人数:6085提问数量:109887

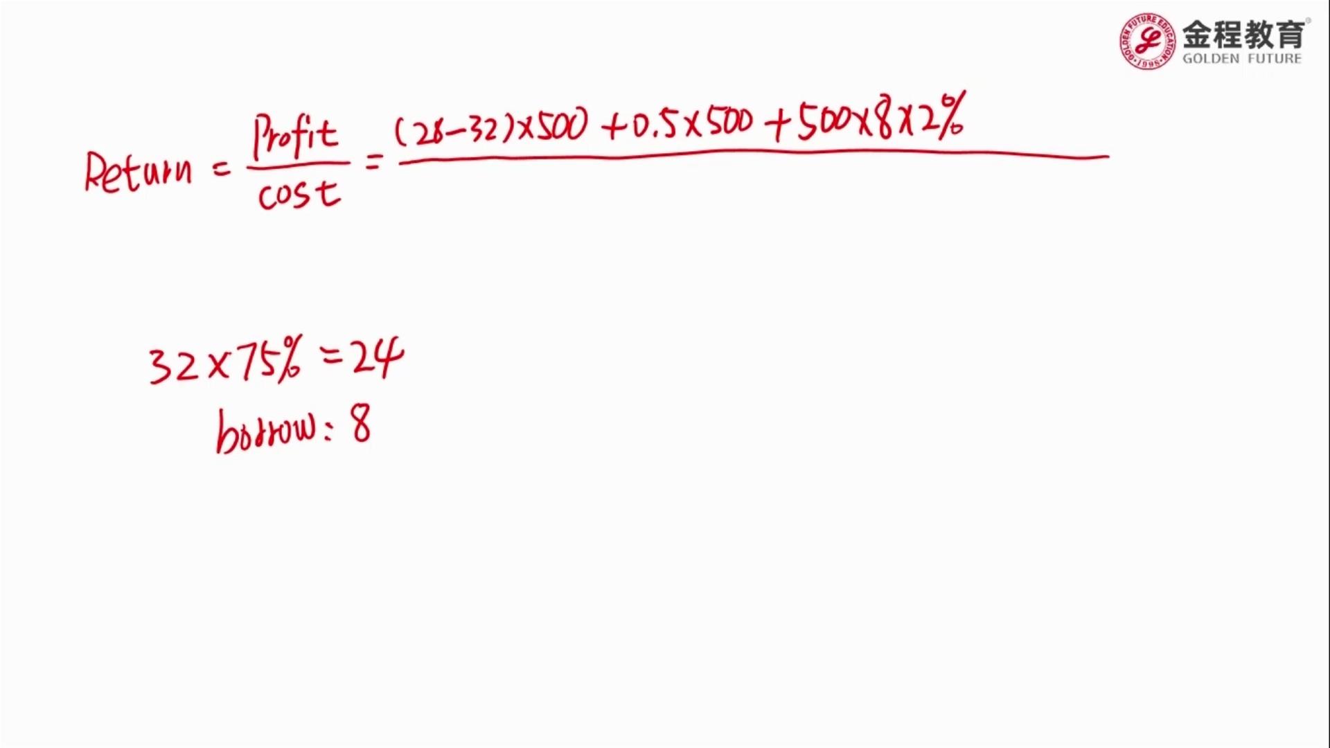
老师好,这里的利息支付不应该是减吗?为什么是加呢

已回答

老师你好,为什么行业标准不重要?难道行业标准可以违反吗?

已回答

老师,87题和89题,为什么87题d1从d0开始算起,即d1=d0*(1+g),89题直接就是d1=1,而不是按照d0=1,计算d1?弄不清楚d0和d1的区别,以及如何判断啥时候是d0,啥时候是d1

已回答

老师你好,请问这里哪里反应了利益冲突呢?

已回答

赌徒的谬论是说应该独立还是应该不独立,应该是谬论是不独立,实际应该是独立吗?

已回答

为什么不能用1-P(20)和1-P(4)来看,这样A就错误了?前者应该小于后者吧

已回答

老师你好,不是说来自competitor的信息不可靠不算mni吗?

已回答

为什么上面加CFC,下面减?

已回答

圈起来的什么意思?

已回答

圈起来的蓝色地方表示正确吗?另CNY/USD=6.99表示1USD=6、99CNY?

已回答

精品推荐

400-700-9596
(每日9:00-21:00免长途费 )

©2026金程网校保留所有权利

X

注册金程网校

验证码

同意金程的《用户协议》
直接登录:

已有账号登录