
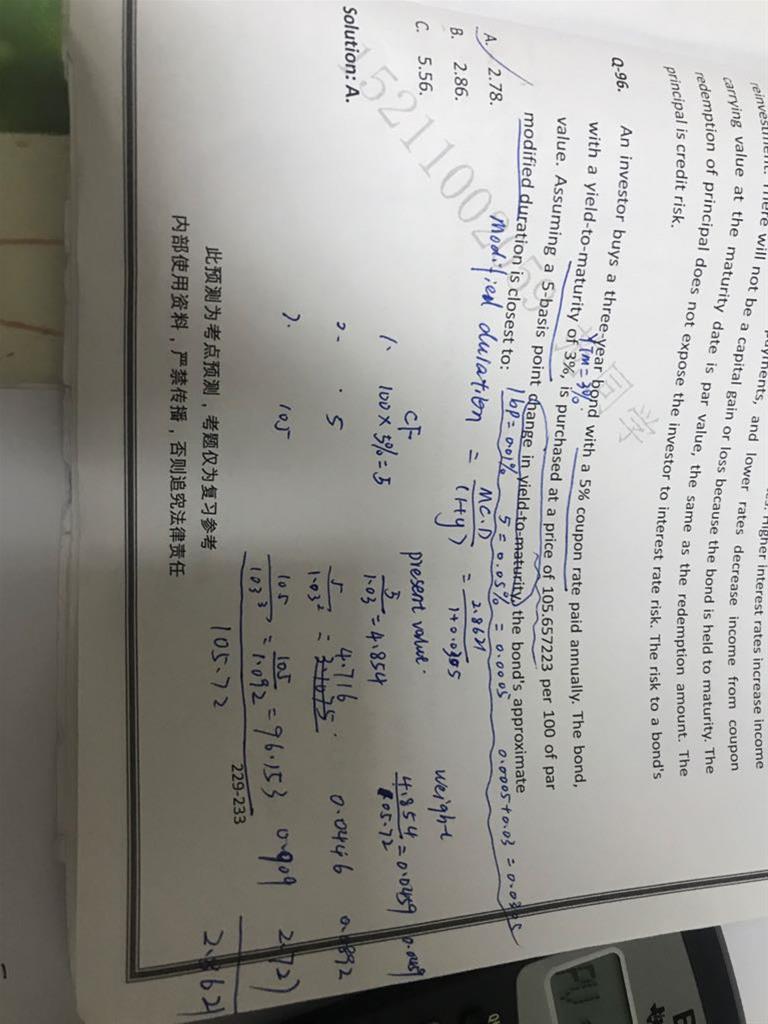
-
CFA一级
包含CFA一级传统在线课程、通关课程及试题相关提问答疑;
专场人数:6057提问数量:109071
精品问答
- m上升 EAR为什么上升 以及为什么又不变
- 前面在讲Aggregate demand curve的时候说,价格上涨使消费下降,而这里又说价格下降消费变少,为什么存在矛盾?
- 对于老师讲的这部分,1. 我理解FRA的Payoff始终等于利率期货的Payoff部分进行折现(除以1个大于1的数),也就是说,FRA的Payoff的变动幅度 应该 始终小于利率期货的变动幅度。2. 至于是涨多跌少,还是涨少跌多,其实MRR在分母上,可以根据1/x的曲线特点来理解,无非就是MRR上升时1/(1+MRR)的变动幅度 小于 MRR下降时1/(1+MRR)的变动幅度,所以如果MRR上升时,Payoff是上升的,那么就是涨少跌多,如果MRR上升时,Payoff是下降的,那就是涨多跌少。以上2点,我理解的对吗?
- 不懂这里为什么新固定利息与老固定利息的差值折现到1时刻就是1时刻的value,为什么只考虑下半边支出的部分,不考虑付息收到的部分
- 如果IC和CAL线的切点在后半段呢,就是比和有效前沿的切点更高呢,不是后面无风险资产权重为0吗,为什么说一定有无风险资产呢
- 为什么不是C选项呢?credit risk是由于借款人违约未能偿还而使债权人遭受损失的风险;solvency risk是由于自己财务状况不佳而无法偿还到期债务的风险。二者紧密相连
- 为什么TC 的切点对应是AVC的最低点?
- 为什么可以把TR TC同时体现在纵轴?











