天堂之歌

听歌而来,送我踏青云〜

FRM问答

FRM问答

FRM问答包含在线课程、FMR通关课程、FRM试题等所有FRM相关问题,每个问题老师均会在24小时内给出答疑回复哦!

专场人数:0提问数量:0

Ⅱ. Merger arbitrage hedge fund Ⅳ. Convertible bond investors Ⅴ. Statistical arbitrage investors 请问这三个为什么都有杠杆呢?不是一long一short吗,谢谢

查看试题 已回答

请问每次讲课大写小写x,老师都讲要分的清楚,请问考试会拿x的大写小写不同作为考点吗?

已回答

ppt3-23,问题一:每次抽样都是独立同分布,均值方差为什么都还会一样呢,因为人口不一样,均值方差不是也不一样吗?问题二:可以把独立同分布的性质再描述一下吗?之前没太明白

已回答

老师想问一个题外的问题,这道题的第二问,为什么要有两种情况呢?第二种情况的L=13是怎么求出来的呢?

已回答

老师,零售和对公客户的存款都是被动负债吗?只有金融市场融资和同业业务的负债才是主动负债,这样理解对不对呢?

已回答

老是拒绝原假设不能说明validating嘛?

查看试题 已回答

为何credit quality of a bank's assets 一定就是优质呢?谢谢

查看试题 已回答

请问老师,因为非会员要算maintainence margin,那么他们还要有 variation margin吗?

已回答

Banks could also convert their domestic currency liabilities into U.S. dollars using FX swaps to buy the asset. 请问这句话什么意思呢?谢谢

查看试题 已回答

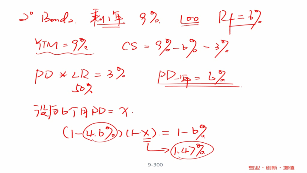
这里前六个月和后六个月的存活率不需要加根号吗?

已回答

精品推荐

400-700-9596
(每日9:00-21:00免长途费 )

©2026金程网校保留所有权利

X

注册金程网校

验证码

同意金程的《用户协议》
直接登录:

已有账号登录