天堂之歌

听歌而来,送我踏青云〜

FRM问答

FRM问答

FRM问答包含在线课程、FMR通关课程、FRM试题等所有FRM相关问题,每个问题老师均会在24小时内给出答疑回复哦!

专场人数:0提问数量:0

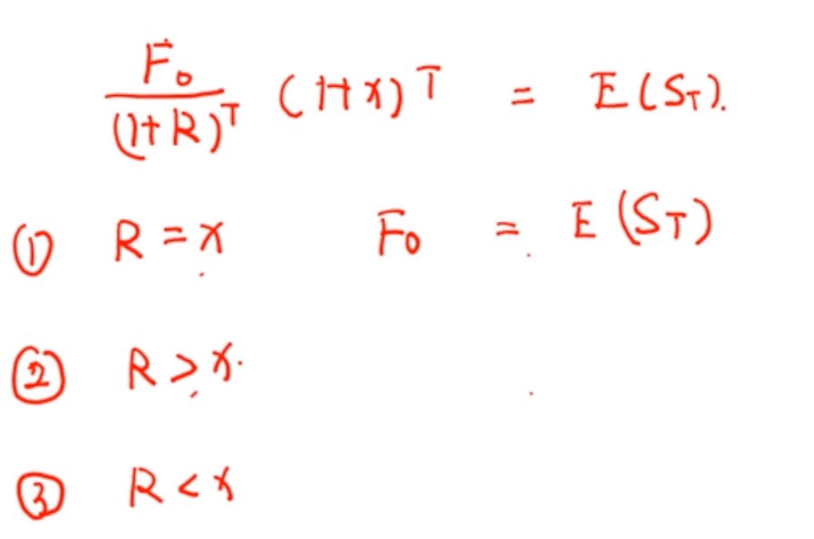
老师可以讲一下这个组合收益率具体指什么吗?就是这个x

已解决

这个考点没见过,是一级的知识点么?

查看试题 已回答

老师,不懂这四个选项。

已回答

1

已回答

为什么是股票期权呀

已回答

第九题A选项修正久期为什么是以年作为单位呀?

已回答

可以讲一下吗,目前百题也看不了啥都没有

查看试题 已解决

老师能讲一下这题吗,我看不到答案

查看试题 已解决

老师好,行为风险管理的三道防线是什么?G30的两个报告大概讲的啥

已回答

你好,想问一下这个539题答案是不是A?

已解决

精品推荐

400-700-9596
(每日9:00-21:00免长途费 )

©2026金程网校保留所有权利

X

注册金程网校

验证码

同意金程的《用户协议》
直接登录:

已有账号登录