天堂之歌

听歌而来,送我踏青云〜

FRM问答

FRM问答

FRM问答包含在线课程、FMR通关课程、FRM试题等所有FRM相关问题,每个问题老师均会在24小时内给出答疑回复哦!

专场人数:0提问数量:0

贴现公式提供一下

查看试题 已回答

837怎么做啊

已回答

课程中有提到多阅读英语读物,在疫情的当下,除了ntoes,哪些金融类报刊或书籍网上找的到的推荐 麻烦告诉我或者建议通过班主任以定期下发阅读读物 扩展阅读面 为的是更快的阅读能力

已回答

请问option writer 是什么?这个职业在交易中起到什么成分?这个职业的作用是什么?他是一个公司的操作员还是对手的?

已回答

市场上的远期价格(这是现货啊)偏高,无套利价格(期货)就偏低了,应该卖出现货买入期货啊?

已回答

老师请问一下ppt17-19处为什么要将其标准化?如果要进行标准化,标准化的公式不是数值减均值除以标准差吗?如果用这个公式可以吗?

已回答

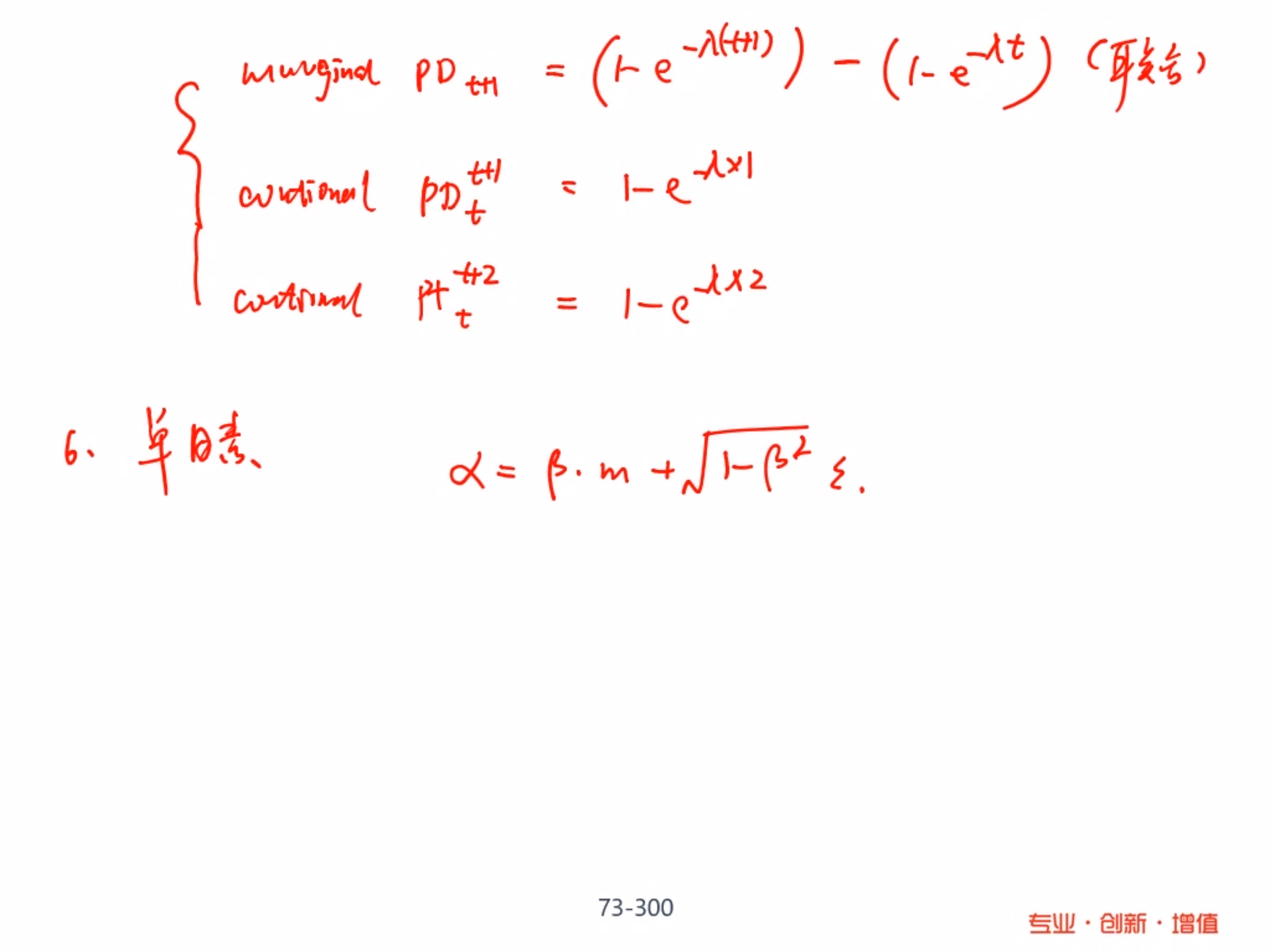
Pd t到t+2这个条件违约概率的公式为什么等于累计违约概率了?不是应该是边际违约概率除以1减去累计存活率吗

已回答

这题第二点卖了期权为什么不赚钱?赚取期权费不算么

已回答

为什么贷款也有PfE,风险敞口不是你可能失去的钱么,贷款是一个负债不是应收,为什么前面和债券的PFE差不多,而债券对于投资者是应收

已回答

老师,18分33秒这个表格里的第一年的cashflow110是怎么算出来的?视频里老师说是104+6.

已回答

精品推荐

400-700-9596
(每日9:00-21:00免长途费 )

©2026金程网校保留所有权利

X

注册金程网校

验证码

同意金程的《用户协议》
直接登录:

已有账号登录