天堂之歌

听歌而来,送我踏青云〜

您现在的坐在位置:首页>智汇问答>FRM二级

罗同学2024-07-03 09:52:01

模型一得到的期限结构为什么在短期内是平的?

查看试题

回答(1)

黄石2024-07-03 10:17:42

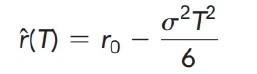
同学你好。短期内也不是平的,只是相对来说下行得不严重,近似于平的。这个具体还是来自于推导。在Model 1下,可得不同期限的即期利率的表达式,见下图(这个属于超纲内容)。随着T的上升,r(T)会逐渐下降。

  • 评论(0
  • 追问(0
评论

精品推荐

评论

0/1000

追答

0/1000

+上传图片

    400-700-9596
    (每日9:00-21:00免长途费 )

    ©2026金程网校保留所有权利

    X

    注册金程网校

    验证码

    同意金程的《用户协议》
    直接登录:

    已有账号登录