HuiLYue2024-05-28 21:18:48
这个correlation是怎么得出等于aiaj的?没看懂
回答(1)
杨玲琪2024-05-29 17:11:09
同学你好,
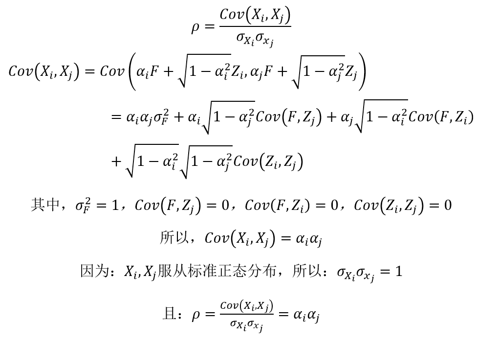
具体推导详见附图。
希望能解答你的疑惑,加油!
- 评论(0)
- 追问(0)
评论
0/1000
追答
0/1000
+上传图片


