ml2024-04-29 07:05:46
这里右边老师以三个资产举例子感觉不是很懂,12,or 1,3是乱的
回答(1)
最佳
杨玲琪2024-04-30 16:25:12
同学你好,
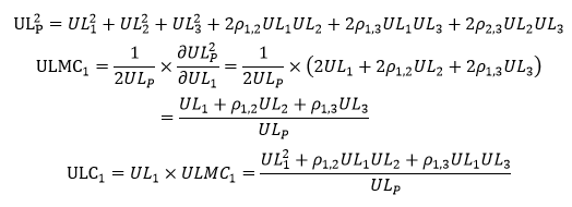
详见附图。
希望能解答你的疑惑,加油!
- 评论(0)
- 追问(0)
评论
0/1000
追答
0/1000
+上传图片


