孙同学2024-04-23 22:59:54
这里的2个资产的关联系数不会计算,主要是忘记协方差的运算法则了,还请解释
回答(1)
杨玲琪2024-04-24 14:15:43
同学你好,
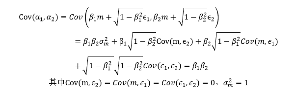
运算法则详见附图。
希望能解答你的疑惑,加油!
- 评论(1)
- 追问(2)
- 追问
-
麻烦写一下协方差计算公式,不是运算法则,就是等于什么
- 追答
-
同学你好,
Cov(ax+by, cx′+dy′)=acCov(x, x′)+adCov(x, y′)+bcCov(y, x′)+bdCov(y, y′)
希望能解答你的疑惑,加油!
评论
0/1000
追答
0/1000
+上传图片


