回答(1)
最佳
黄石2024-04-23 18:43:18
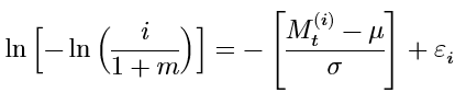
同学你好。这些估计方法即使是原版书上展开的也并不多,建议记一下结论就可以了,不必深究。GEV通常有三种估计方法,一种是最大似然估计(maximum likelihood),这种方法的估计思路是通过最大化观测到当前样本的概率来去估计参数,使用了GEV中分布的PDF函数,譬如Gumbel分布下我们将每个样本点的概率(也就是PDF函数)进行连乘,得到联合概率,这就是我们观测到样本的概率,再对其取log得到Log-likelihood function,即可选择参数估计来去最大化这一函数(见图一)。对于B选项,它说的是最大似然估计是取用极值的平均去估计,属于牛头不对马尾。回归的方法则是基于顺序统计量的知识(ordered statistic)进行推导(对应A选项中所谓的ordered sample),最终可以通过最小化残差平方和的方法来去估计参数。不过一来这里的推导很复杂,通过顺序统计量、结合beta分布才能够得到回归形式,且我们最终得到的回归形式也很不好做,通常是用例如加权最小二乘法等方法去做,见图二(这里也是Gumbel分布下的)。A选项的话描述正确。矩法则更为复杂,普通的矩往往有着不一致且非渐近正态的缺点(所以D描述错对象了),在后来上世纪八十年代,统计学家提出了概率加权矩的应用,最终我们能够得出对于参数的更好的估计,见图三(Gumbel)。C错在它描述的方法是回归的方法,不是矩法,矩法的思路是通过样本矩估计总体矩。Hill estimator则是一种专门针对tail index估计的非参数方法。
- 评论(0)
- 追问(0)
评论
0/1000
追答
0/1000
+上传图片



