Sylvia2024-02-22 16:22:09
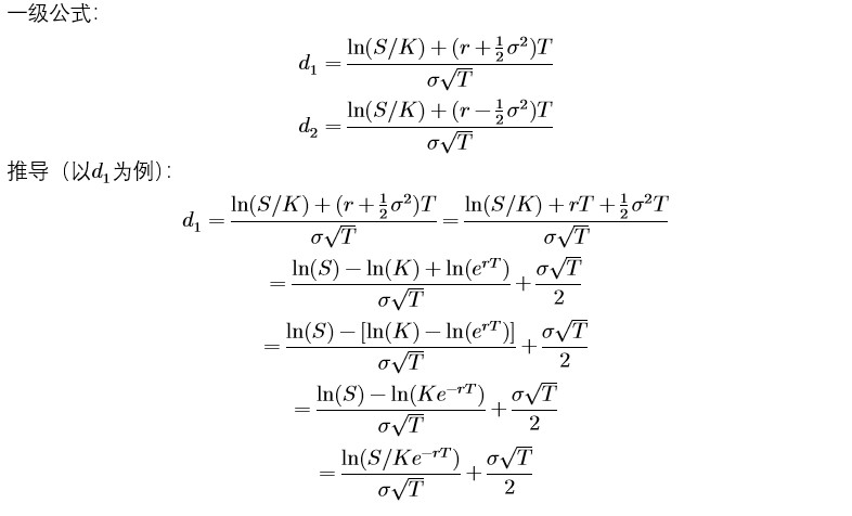
一级计算d的公式能否给一下,跟这的不太一样
回答(1)
黄石2024-02-23 13:26:43
同学你好。是一样的,只不过这里做了个变形,不同的教材对于d1和d2的公式写法可能不同,但本质上都是一回事。
- 评论(0)
- 追问(0)
评论
0/1000
追答
0/1000
+上传图片


