13****522023-12-15 14:34:07
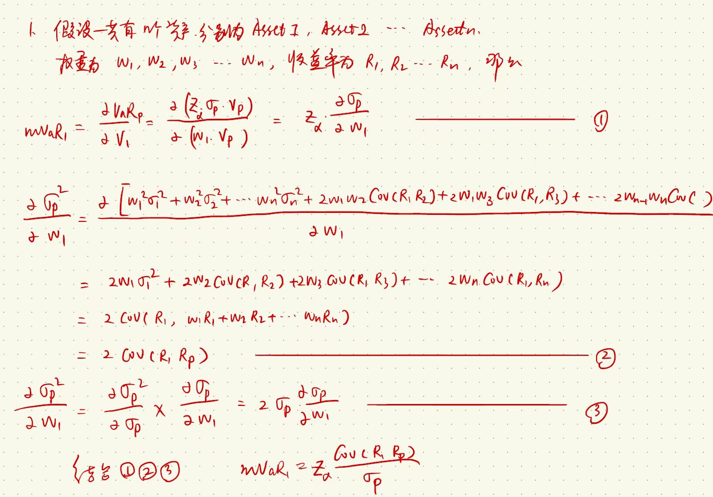
老师这里说的求导过程,请帮忙推导一下,谢谢!
回答(1)
最佳
苏学科2023-12-15 23:48:19
同学你好,推导如下
- 评论(0)
- 追问(0)
评论
0/1000
追答
0/1000
+上传图片


