汤同学2023-11-08 00:22:19
这个题为什么不能用题干公式?老师写的公式之前有讲过吗?是只有vasicek有这种累计年限的公式吗?其他的比如cir有吗?有的话可以全部写一下吗?麻烦了
查看试题回答(1)
黄石2023-11-08 09:46:36
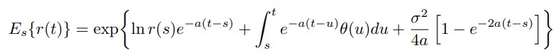
同学你好。题干的公式是对利率在一瞬间的变动(dr)进行建模,而dr本身是带有随机性的(dr = 趋势项 + 随机项);而这里算的是对未来一段时间后的利率的期望、以此求解半衰期。所以二者并不同。对未来一段时间后的利率的期望是由题干公式推导得来的(见图1;通俗来理解二者的关系,未来利率的期望等于当前利率加上每期利率变动的期望,E[rt] = r0 + E[dr1] + E[dr2] + ...,当然实际计算没有这么简单)。这里用到的公式在Vasicek model讲半衰期的部分有提到,不需要同学掌握推导,记住公式即可。
不是只有Vasicek model才有这种公式,像CIR模型等也有;只要是均值复归模型我们就会倾向于研究E[rt]与半衰期。CIR的E[rt]与Vasicek model无异;Black-Karasinski model的E[rt]见图2。FRM只要求同学掌握Vasicek model相关的内容,这个模型是非常具有教学意义的。
- 评论(0)
- 追问(0)
评论
0/1000
追答
0/1000
+上传图片


