回答(1)
黄石2023-10-24 11:11:58
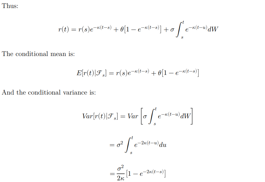
同学您好。题干的公式给出的是dr的表达式,其建模的是下一瞬间利率发生的变动,而这一变动其实是随机的,其中随机项由Sigma*dW来表示。dW是一个服从正态分布的随机变量,这给dr带来了随机性。而这边题目问的则是未来某一时点的期望利率,可以理解为rt + E[dr(from t to t + 1)] + E[dr(from t + 1 to t + 2)] + ... + E[dr(from t + N - 1 to t + N)](假设站在t时刻求t + N时刻的利率的期望值),这个是有特定公式的,需要同学背过哈。具体的推导不需要掌握,感兴趣的话可以看下面贴的图。
- 评论(1)
- 追问(0)
评论
0/1000
追答
0/1000
+上传图片



