安同学2023-09-04 23:24:24
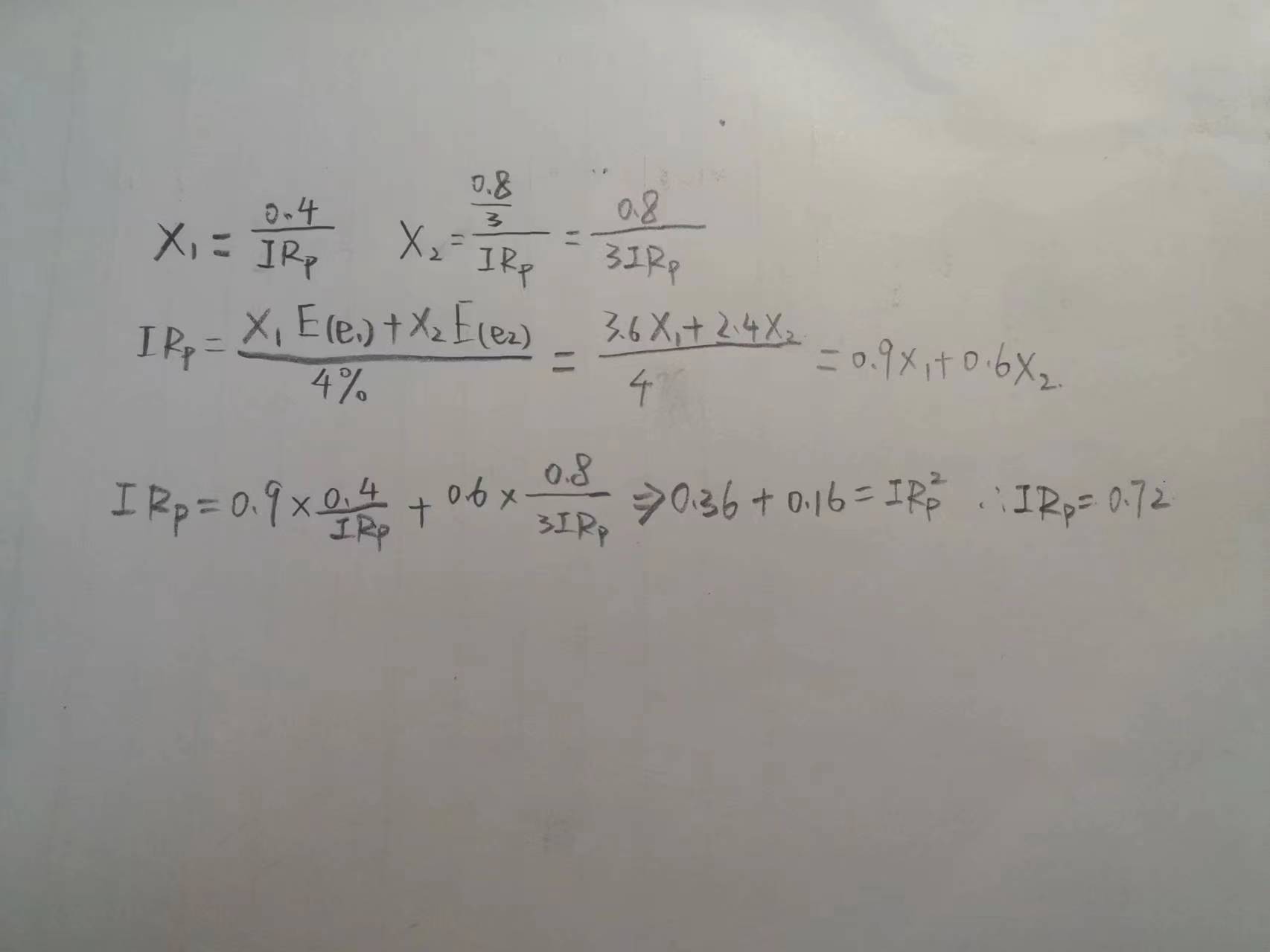
請問如何利用圖中3個公式 求出X1,X2,X3 嗎?請詳解一下,解方程不太熟。
回答(1)
最佳
苏学科2023-09-05 14:58:19
同学你好,解方程主要是先弄清楚未知数和已知数的关系。X1,X2,IRp是未知数,其余是已知的。具体计算过程如下
- 评论(0)
- 追问(0)
评论
0/1000
追答
0/1000
+上传图片


