python2023-08-15 21:59:53
没太明白这里的α标准差为什么是IC*TEV呢?
回答(1)
最佳
Will2023-08-16 10:37:18
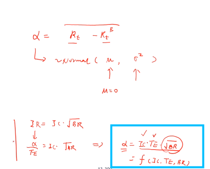
同学你好,首先在这个图里面,提到了这个推导公式,再者,公式里的根号BR,也就是score是服从标准正态分布,即均值为0,方差为1。公式里的TE就是我们这里的σ。在调整alpha的规模的时候,α=σ*IC*score,因为σ和IC为常数,则α~N(0,(σ*IC*1)^2),所以alpha的波动率为σ*IC。(这里的乘以1就是这个score)
感谢正在备考中乘风破浪的您来提问~如果您对回复满意可【点赞和采纳】鼓励您和Will更加优秀,您的声音是我们前进的动力,祝您生活与学习愉快!~
- 评论(0)
- 追问(0)
评论
0/1000
追答
0/1000
+上传图片


