茜同学2023-07-17 19:32:58
这个是什么公式?
回答(1)
最佳
杨玲琪2023-07-18 10:38:04
同学你好,
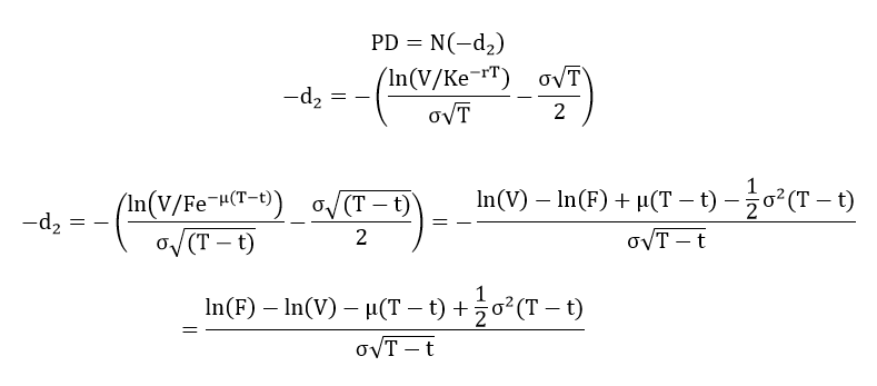
这里是使用莫顿模型估计违约概率,解析中的公式实际计算的是N(-d2)。其中F代表债务面值300,μ代表资产收益率15%,(T-t)代表的是从t时刻到T时刻,T-t=1。实际的推导过程详见附图。
希望能解答你的疑惑,加油!
- 评论(0)
- 追问(2)
- 追问
-
为什么不能直接用-d2的原始公式,把R=3%代入求解呢? 怎么判断什么时候用哪个公式
- 追答
-
同学你好,
这里这个公式就是原始公式,只是写法不同。而具体是使用无风险收益率还是资产收益率一般需要根据题干要求进行判断,要求计算risk-neutral PD就用无风险收益率,要求计算physical PD就用资产收益率。这道题这部分没有清晰的给出,所以需要结合后半句话的正确性来进行判断。
希望能解答你的疑惑,加油!
评论
0/1000
追答
0/1000
+上传图片


