AliceZhou2023-07-06 09:55:40
老师,债权法推出的lamda是不是还有个近似(1-Rf)近似等于1
回答(1)
杨玲琪2023-07-06 10:07:27
同学你好,
在这里这个计算中不需要这个近似。
希望能解答你的疑惑,加油!
- 评论(0)
- 追问(3)
- 追问
-
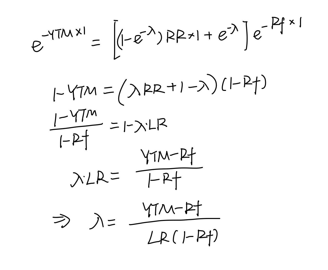
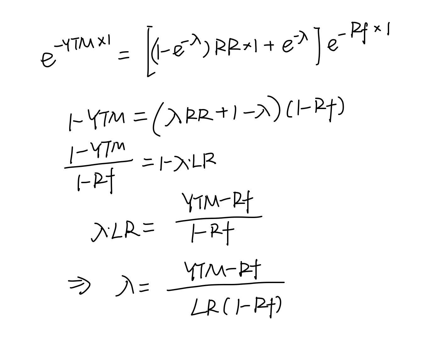
老师,我推出来的式子是这样子的
- 追问
-
这个
- 追答
-
同学你好,
具体计算详见附图。
希望能解答你的疑惑,加油!
评论
0/1000
追答
0/1000
+上传图片




