陈同学2023-05-20 22:20:40
这道题可以讲解一下吗,这个公式在讲义的哪里呢?
回答(1)
最佳
杨玲琪2023-05-21 03:05:22
同学你好,
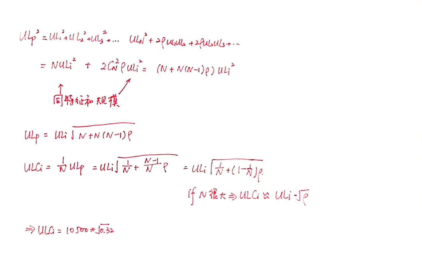
这里采用的是一个在包含大量同特征贷款的信贷组合中近似计算UL的方法,公式是根据课上讲到的一些标准公式推导而来,讲义中并没有。公式的推导详见附图。
希望能解答你的疑惑,加油!
- 评论(0)
- 追问(0)
评论
0/1000
追答
0/1000
+上传图片


