回答(1)
最佳
Shawn2023-03-03 10:44:16
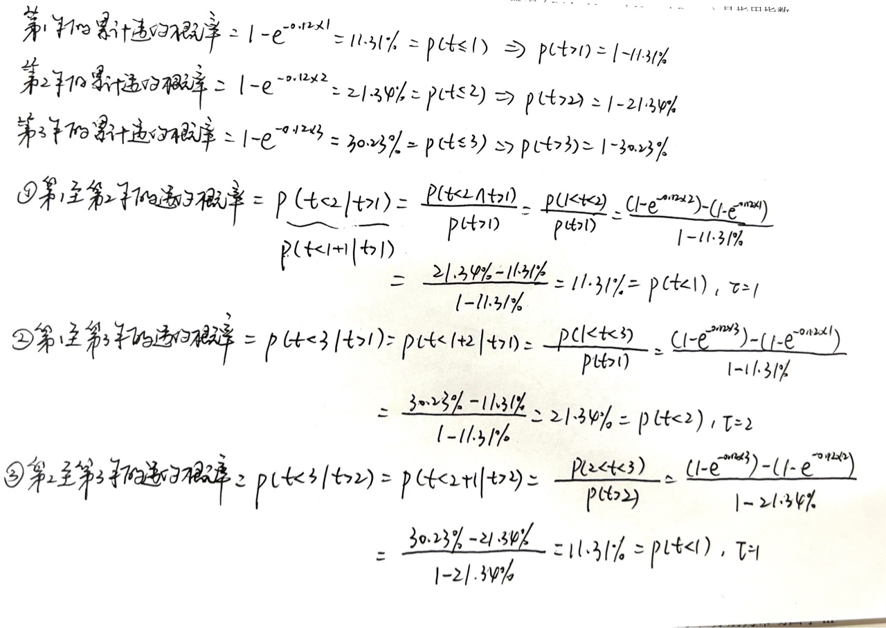
同学你好,我这边也计算了一下是符合无记忆性的哈,可能是你的某个步骤出错了吧。下面的步骤同学可以参考一下。
- 评论(0)
- 追问(0)
评论
0/1000
追答
0/1000
+上传图片


