137****34762023-02-25 18:00:59
MVaRa=VaRp÷Vp×βa,p
回答(1)
最佳
ES2023-03-05 22:41:27
同学你好
你的问题是?
- 评论(0)
- 追问(2)
- 追问
-
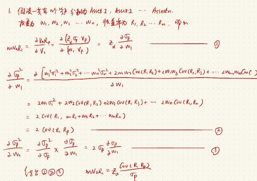
边际VaR的推导公式是怎么来的
- 追答
-
同学,你好
这个是投资风险管理这一科目的知识点,麻烦下次对应到相应的科目下
推导过程如下图:
评论
0/1000
追答
0/1000
+上传图片


