朱同学2023-02-04 17:19:57
这里的ULMC1的偏导公式是怎么推导的,1/2ULp是如何构造的
回答(1)
Shawn2023-02-16 13:30:02
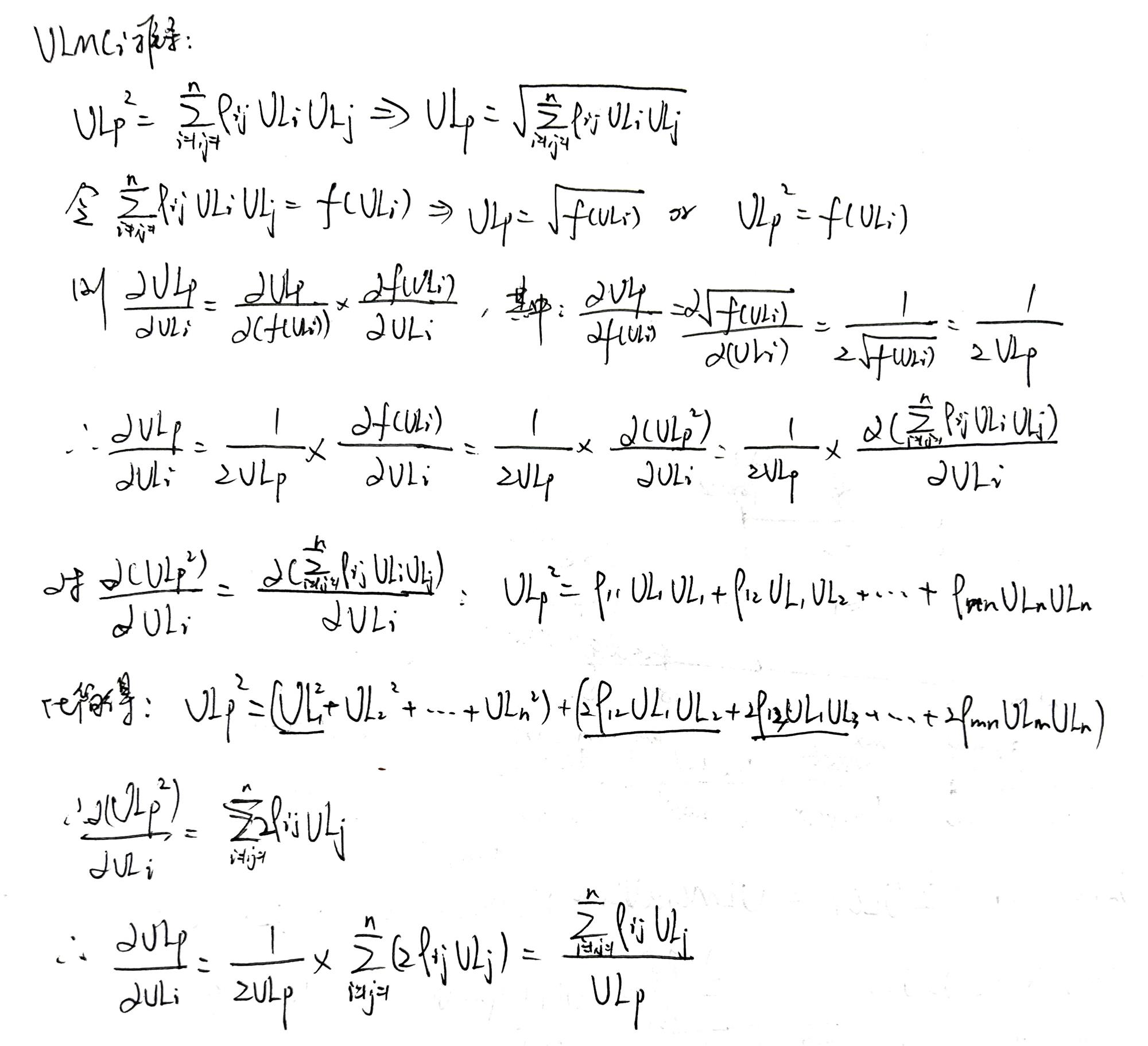
同学你好,首先我们要知道ULp^2的表达式是Σ(ρij*ULi*ULj),然后ULp只需要开根号就行。
然后根据开过根号的表达式对ULi求偏导,这里我们只需要将根号里的表达式(即ULp^2)看成整体,下面本质上就是利用链式法则对多元函数求偏导。这里的1/2ULp也就是在这里得到的:对根号x求导就是1/2根号x。
- 评论(0)
- 追问(0)
评论
0/1000
追答
0/1000
+上传图片


