阮同学2022-10-06 17:36:38
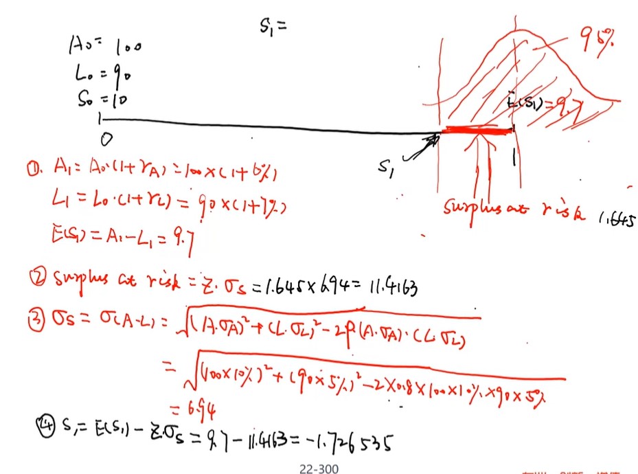
第33题,题目的这个问法为什么计算的是surplusatrisk-surplus呀?
回答(1)
Michael2022-10-12 21:42:07
学员你好,你按照定义来计算就行。
首先题目问的是95%的置信水平下surplus要大于等于多少。
首先找出预期的surplus值,然后在找出95%概率下会出现的最大的波动,其实也就是这里的surplus at risk。
老师讲解的后面的图片说得非常清晰的。
- 评论(0)
- 追问(0)
评论
0/1000
追答
0/1000
+上传图片

