GIN2022-09-28 08:05:02
请问老师,165题怎么做?
回答(1)
杨玲琪2022-09-30 13:35:15
同学你好,
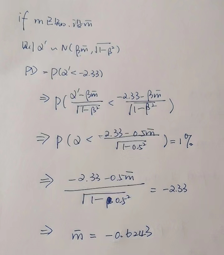
这道题考察的是单因素模型,其中correlation to the market factor就是beta。realized market value指的就是一个确定的市场因子的取值。也就是说考察的是当市场因子m给定某个值时,可以计算出违约概率是1%(default threshold at the 99% confidence level),问这个m取值是多少。在这道题中给定的违约临界值对应的概率是1%,所以合理假设计算非条件违约概率时分位点就是-2.33。在这个基础上要计算当m给定情况下违约概率仍是1%,所以需要采用条件违约概率计算的公式(即m为条件)。具体计算详见附图。
希望能解答你的疑惑。
- 评论(0)
- 追问(0)
评论
0/1000
追答
0/1000
+上传图片


