为同学2022-09-21 23:23:09
1-beta的平方不是常量吗?常量的方差不等于0吗?
回答(1)
最佳
杨玲琪2022-09-23 04:42:10
同学你好,
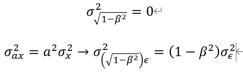
你说的是对的,如果只是计算1-beta^2的方差那就是零,但是这里的计算中还有变量epsilon,所以是有差异的。详见附图。
希望能解答你的疑惑,加油!
- 评论(0)
- 追问(2)
- 追问
-
老师,epsilon方差不是等于1吗?
- 追答
-
同学你好,
你说的是对的,所以最终结果是1-beta^2。
希望能解答你的疑惑,加油!
评论
0/1000
追答
0/1000
+上传图片


