为同学2022-09-21 22:42:42
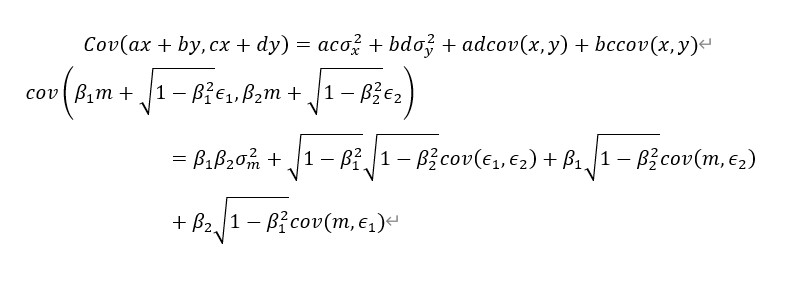
图片里最下面一行Cov(阿尔法1阿尔法2)等于后面那一串是运用的哪一个公式?请老师解答。
回答(1)
最佳
杨玲琪2022-09-23 04:35:07
同学你好,
这里运用的是cov协方差运算法则,详见附图。
希望能解答你的疑惑,加油!
- 评论(0)
- 追问(0)
评论
0/1000
追答
0/1000
+上传图片


