慌同学2022-09-20 15:29:51
σ1的平方后面等于的那一串是咋来的?
回答(1)
杨玲琪2022-09-21 16:00:35
同学你好,
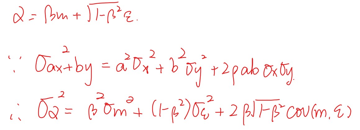
这个是根据方差运算法则推导出来的,详细推导见附图。
希望能解答你的疑惑,加油!
- 评论(0)
- 追问(0)
评论
0/1000
追答
0/1000
+上传图片


