姜同学2022-07-31 09:46:31
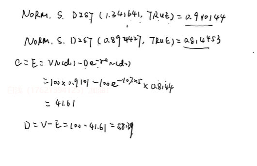
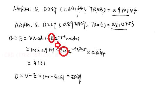
模拟题1,35题,要求计算D的价值,为什么公式里直接用100?
回答(1)
Lucia2022-08-01 15:08:21
同学,你好,公司当前价值是100
- 评论(0)
- 追问(2)
- 追问
-
这个公式里有个D,是不是题目中应该求的值?为什么这里直接用100,100是公司的价值才对啊
- 追答
-
同学,看清楚题目要求,题目给了现在债务价值是100.
感谢正在备考中乘风破浪的您来提问~如果您对回复满意可【点赞】鼓励您更加优秀,您的声音是我们前进的动力,祝您生活与学习愉快!~
评论
0/1000
追答
0/1000
+上传图片



