回答(1)
最佳
Adam2022-08-01 15:14:29
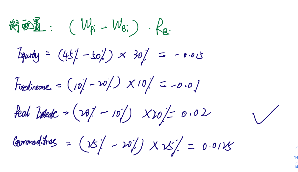
同学你好,这题考察的就是业绩归因中---资产配置的公式呀。
- 评论(0)
- 追问(0)
评论
0/1000
追答
0/1000
+上传图片


