天堂之歌

听歌而来,送我踏青云〜

您现在的坐在位置:首页>智汇问答>FRM问答

180****91292022-07-16 21:17:58

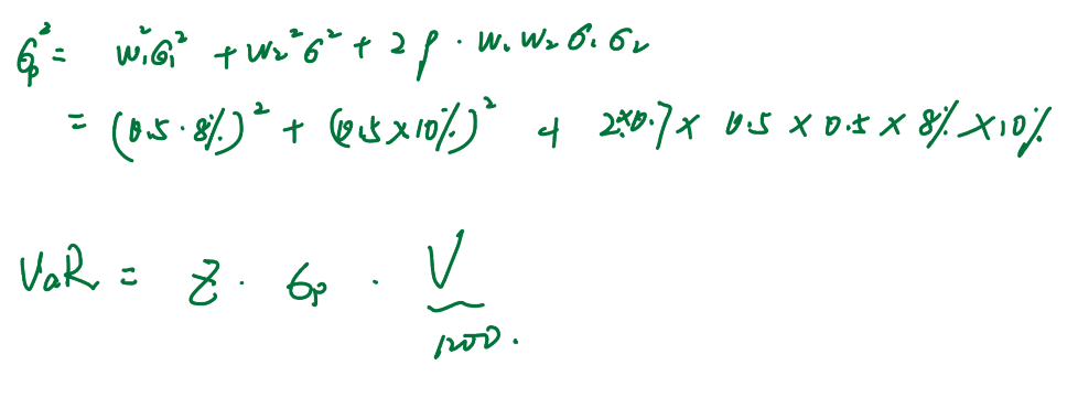
为什么这题计算VaR(X+Y)时不能:VaR=Z*sigma(X+Y)*V,这里V为X,Y的和即1200?

查看试题

回答(1)

Adam2022-07-18 16:29:10

同学你好,完全可以的呀,结果是一样的

  • 评论(0
  • 追问(0
评论

精品推荐

评论

0/1000

追答

0/1000

+上传图片

    400-700-9596
    (每日9:00-21:00免长途费 )

    ©2026金程网校保留所有权利

    X

    注册金程网校

    验证码

    同意金程的《用户协议》
    直接登录:

    已有账号登录