企同学2022-07-12 15:25:22
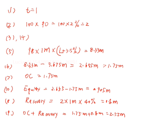
图片黑线中划出的部分等式不成立,算出来的答案不是5227500,是等式错误还是表中的数字错了?
回答(1)
Lucia2022-07-12 17:54:33
同学,你好,计算出来的是正确的哈,(1+5%)*2.55+2.55=5.2275
----------------------
希望答案能对你有所帮助,如果解决你的问题了,你的【点赞】是对我最大的鼓励
- 评论(0)
- 追问(0)
评论
0/1000
追答
0/1000
+上传图片



