赵同学2022-07-08 00:11:23
T方公式怎么推导出来的
回答(1)
最佳
Adam2022-07-08 14:04:18
同学你好,这里比较复杂,不要求掌握,建议在学习的时候直接记住公式就可以了
- 评论(0)
- 追问(3)
- 追问
-
adam老师,还是麻烦把推导详细过程放张图好吗?
- 追问
-
就是第一步到第二步、第二步到第三部之间 我化解出来跟公式不一样 想看看是哪里的问题 感谢解答!
- 追答
-
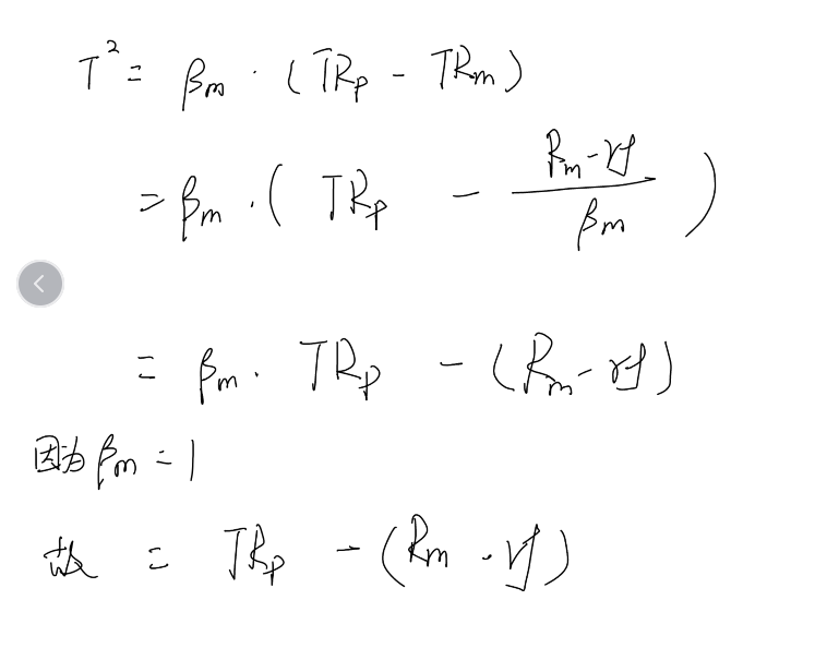
如下图
评论
0/1000
追答
0/1000
+上传图片


