Tony Long2022-06-05 22:05:50
这里的组合IR,是否应该是(w1*alpha1+w2*alpha2+w3*alpha3)/4%,因为组合里有benchmark的部分,但是benchmark的alpha为0,所以w3*alpha=0?
回答(1)
Adam2022-06-06 18:40:31
同学你好,麻烦指明视频位置
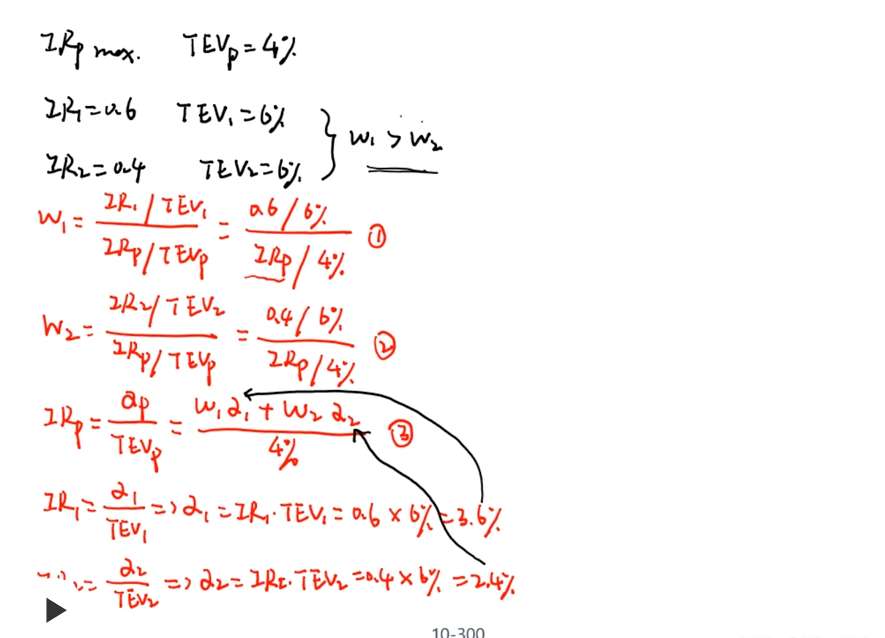
你说的是这个图吧
不不不。
注意,这里的w1、w2、Wb,其实指的是TEV。不是权重。
benchmark的TEV=0
- 评论(0)
- 追问(2)
- 追问
-
我想问的是图中老师标注的第三式
- 追答
-
理解正确。
评论
0/1000
追答
0/1000
+上传图片


