回答(1)
最佳
Adam2022-05-16 17:46:44
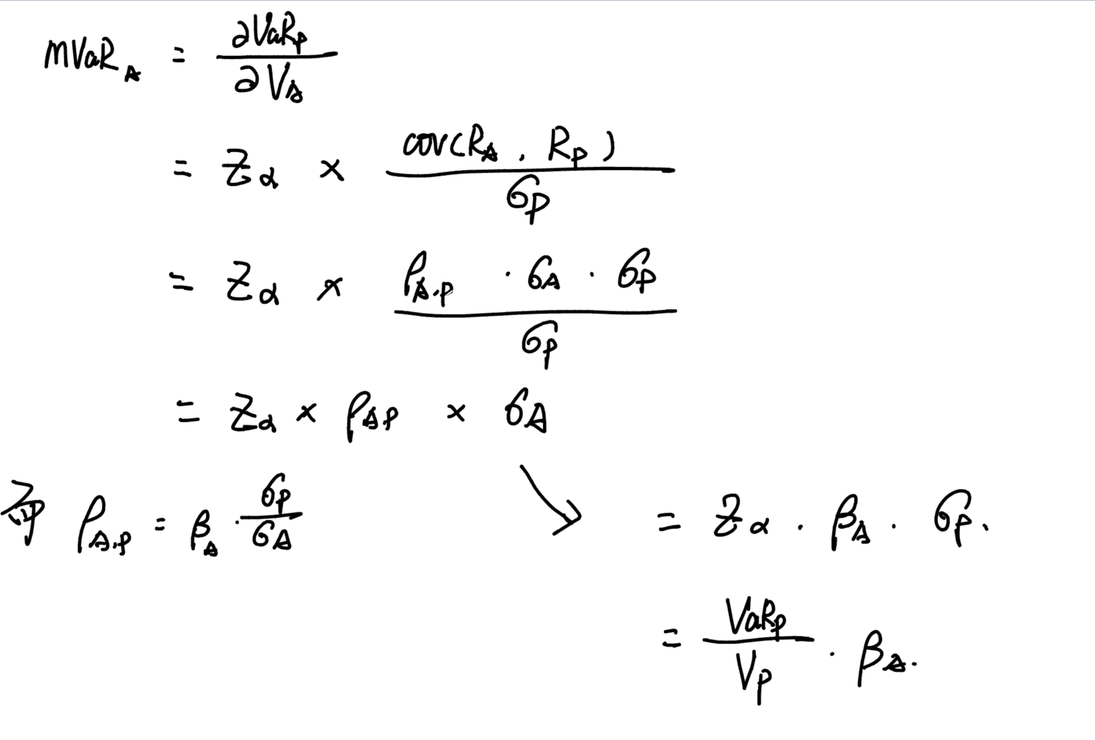
同学你好,就是mvar的公式呀。
如下图
- 评论(0)
- 追问(0)
评论
0/1000
追答
0/1000
+上传图片

