回答(1)
Yvonne2022-04-19 14:12:12
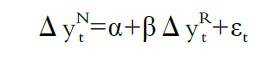
同学你好,单变量回归就是只用一个自变量的变化解释一个因变量的变化,公式如下图图一所示。
而双变量回归就是用两个自变量的变化来解释一个因变量的变化,这里用讲义中的例子来说明,假设做市商从客户手中购买或收到了流动性相对较差的20 年期的固定利率互换产品,收到互换的固定现金流,付出互换的浮动现金流,收到浮动利率的影响,所以需要对冲由此产生的利率风险。通常短期的互换交易比较活跃,但是20 年期互换产品的交易交易并不是特别活跃。如果直接用一个支付固定现金流的20 年期的互换做对冲虽然在理论上可行,但是在实际的交易市场上不太能够找到这类产品,因为它的流动性很差,交易不活跃。另外,流动性差的产品可能意味着有较大的买卖价差损失。所以,该做市商可以选择卖掉10 年期和30 年期互换产品的组合。因此,该做市商希望用一个双变量的回归模拟来描述20 年期互换利率和10 年期及30 年期互换利率的关系,如下图图二所示。
而主成分分析法其实使用较少的主成分尽可能多的反映原来变量的信息,也就是通过降维把多个指标转换成较少的指标,但同时仍然能够较全面的反映原来变量的信息。通过主成分分析的方法只需要简单几个主成分就可以描述两者差异情况。
- 评论(0)
- 追问(0)
评论
0/1000
追答
0/1000
+上传图片


