回答(1)
Yvonne2022-04-11 16:04:27
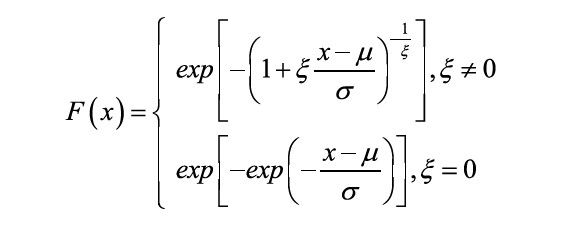
同学你好,不是的,广义极值理论建模的是样本数据中极值的分布。假设现在从一个随机总体中抽取了样本量为n 的样本数据,把样本当中的极值定义为Mn,如果要对抽取出的极值去建模的话,用的就是广义极值理论。当抽取的样本量非常大的时候,市场上出现的极端大的损失值服从分布如下图所示。当其中的参数ξ> 0 时,是Fréchet 分布,对应金融学里的肥尾分布,类似于t 分布或者帕累托分布。这类分布是金融学用到的最多的一类极值分布。当ξ = 0 时,是Gumbel 分布,尾部是指数分布的尾部,比如正态和对数正态分布。当ξ < 0 时,是Weibull 分布,是一个薄尾分布。
而在POT理论中当μ设置的较高的时候,超过阈值的损失数据会无限接近于广义帕累托分布。
- 评论(0)
- 追问(4)
- 追问
-
帕累托分布和极值分布都和正态分布没有关系是吗?三者是平行概念?
- 追答
-
不是,我上面说了,要根据具体的参数进行判断。当其中的参数ξ> 0 时,是Fréchet 分布,对应金融学里的肥尾分布,类似于t 分布或者帕累托分布。这类分布是金融学用到的最多的一类极值分布。当ξ = 0 时,是Gumbel 分布,尾部是指数分布的尾部,比如正态和对数正态分布。
- 追问
-
老师,弱弱问一个基础的数学问题,指数分布和正太分布、对数正太分布间是什么关系?log的分布是对数分布吧
- 追答
-
假设随机变量X服从对数分布,参数为n(自然数),如果P{X=m}=log(1+1/m),(m=1,2,...,n-1)。
正态分布曲线一种概率分布。正态分布是具有两个参数μ和σ^2的连续型随机变量的分布,第一参数μ是遵从正态分布的随机变量的均值,第二个参数σ2是此随机变量的方差,所以正态分布记作N(μ,σ^2)。公式如下图图1所示
对数正态分布(logarithmic normal distribution)是指一个随机变量的对数服从正态分布,则该随机变量服从对数正态分布。比如如果随机变量X 的自然对数ln(X)服从正态分布,则X 服从对数正态分布。公式如下图图2所示。
评论
0/1000
追答
0/1000
+上传图片



