Silvia2021-10-16 00:09:04
老师,麻烦解释下CFaR,这个不是很清晰
回答(1)
Yvonne2021-10-18 17:39:48
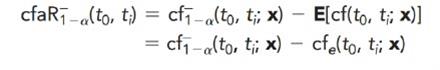
同学你好,CFaR是在险现金流的意思,定义正的在险现金流为在给定的时刻ti,在给定的置信水平α下的最大整的现金流与期望现金流的差,负的在险现金流为在给定的时刻ti,在给定的置信水平α下的最大负现金流与期望现金流的差,具体公式如下图所示。
- 评论(0)
- 追问(2)
- 追问
-
这个考纲是需要掌握定义吗
- 追答
-
同学你好,这里了解一下定义应用,会描述是什么内容就可以了。
评论
0/1000
追答
0/1000
+上传图片


