Silvia2021-10-14 22:41:17
请讲下这个题,只知道不选A
回答(1)
Yvonne2021-10-15 09:25:51
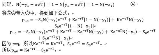
同学你好,这里的障碍期权的定价与波动率无关,具体的证明过程如下图所示,这里记住结论就可以了。
- 评论(0)
- 追问(0)
评论
0/1000
追答
0/1000
+上传图片



