张同学2021-05-11 14:52:01
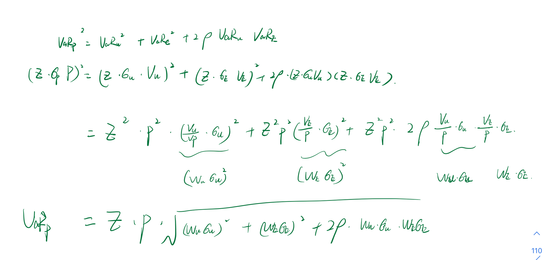
老师请问第17和18题,一个先算组合sigama,一个先算组合vaR,两道题都可以用这两种方法吗?我用先算组合VaR的方法算出来的18题和结果差很多,怎样判断用哪种方法算
回答(1)
Adam2021-05-11 19:12:56
同学你好
都是可以的。
只不过这样适用的是:var=z*sigma*V
- 评论(0)
- 追问(0)
评论
0/1000
追答
0/1000
+上传图片

