回答(1)
Cindy2020-10-27 13:18:20
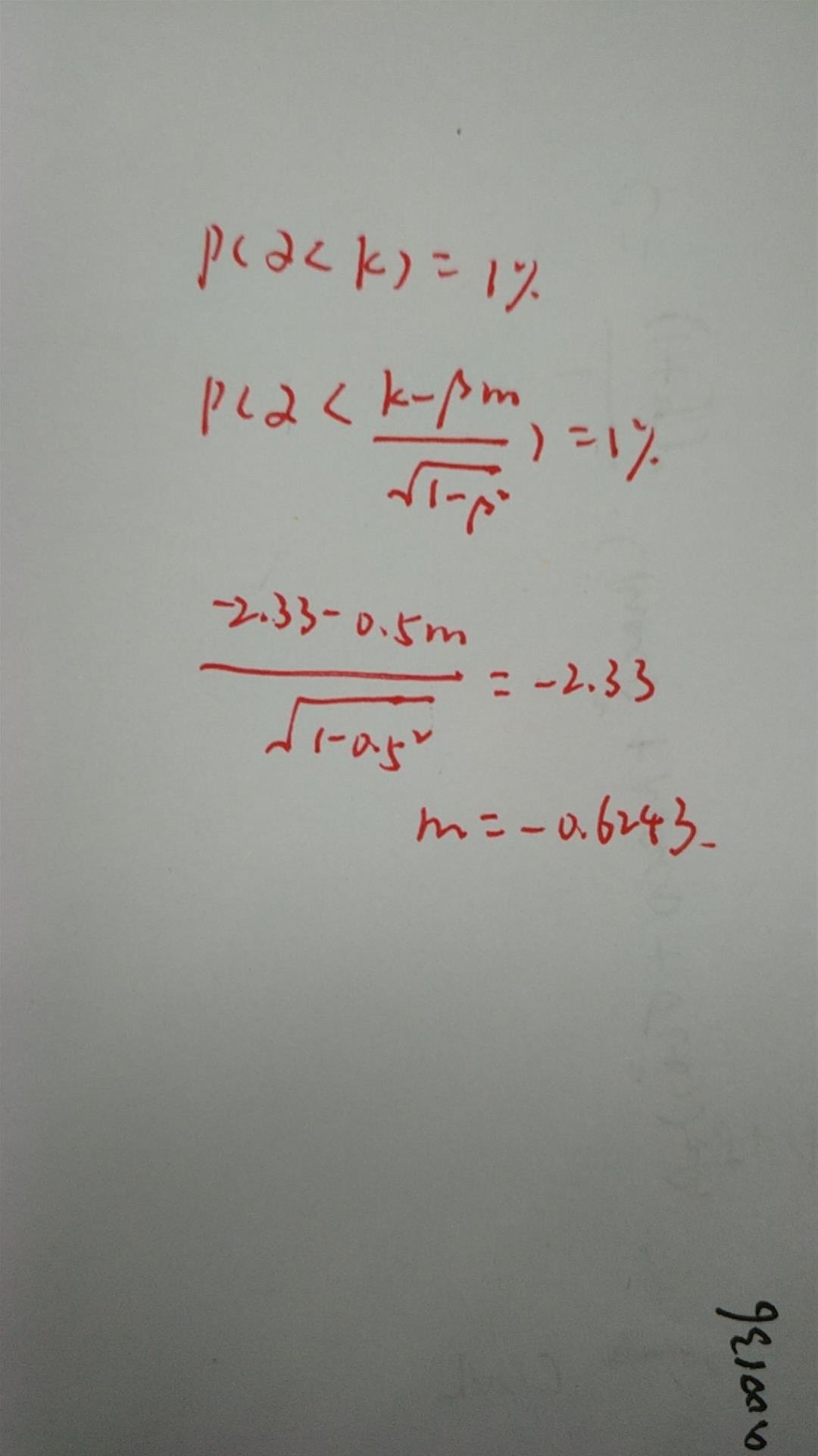
同学你好,这道题考查的是单因素模型,一个信用头寸与市场因子(市场因子是market factor)之间的相关性是0.5,也就是说beta值0.5,我们要算的是99%的置信水平下对应的市场因子是多少,既然是99%的置信水平,对应的违约概率就是1%,对应的正态分布的分为点就是-2.33,所以根据单因素模型的表达式,我们直接带入数据就可以算出市场因子m(realized market value)了,如下
- 评论(0)
- 追问(2)
- 追问
-
多谢老师!明白了~ 还想请教一下,关于k 违约临界点的置信水平,这个k的数额在代数的时候永远都代入负号计算吗?(因为是损失端所以一直都是“-”吗?)
- 追答
-
同学你好,因为左边尾巴我们看成是违约对应的情况,所以一般带入的时候是看左边尾巴上的分位点,也就是负值了
评论
0/1000
追答
0/1000
+上传图片


