严同学2020-10-23 12:31:44
192题里两处—2.33含义应该不一样吧?蓝笔⭕️出的—2.33应该是个新分位数,但题目里没告知啊!答案是这样的
回答(1)
Cindy2020-10-27 11:12:03
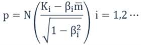
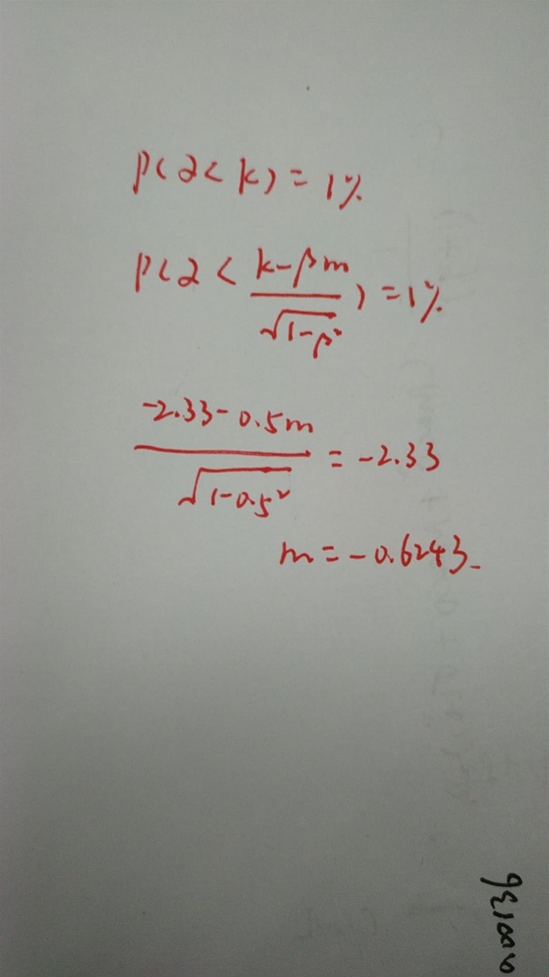
同学你好,因为这道题的置信水平是99%,它想让我们求的是尾巴上1%的面积对应的违约概率是多少,1%的违约面积对应的正态分布的分位点就是-2.33,这就是左边那个-2.33的意思
- 评论(0)
- 追问(3)
- 追问
-
抱歉 我没弄明白 !你说的—2.33是分子上的那个 ,题目里已知 叫default threshhold,左边我圈出的应该是新分位数 是用来算新违约概率的,但题干里找不到这个信息呢。麻烦您再讲解一下,谢谢
- 追问
-
如果题干里信息理解为新分位数,那么分子上的那个—2.33(老分位数)在题干里也没反应出来呀
- 追答
-
同学你好,这道题考查的是单因素模型,一个信用头寸与市场因子之间的相关性是0.5,也就是说beta值0.5,我们要算的是99%的置信水平下对应的市场因子是多少,既然是99%的置信水平,对应的违约概率就是1%,对应的正态分布的分为点就是-2.33,所以根据单因素模型的表达式,我们直接带入数据就可以算出市场因子m了,如下
如果同学觉得不容易理解话,可以再回忆一下正课,和单因素模型有关的内容哦(#^.^#)
评论
0/1000
追答
0/1000
+上传图片



