吴同学2025-11-09 20:32:34
1.能讲解下第38题的负债减少为什么要这么算吗? 2.修正久期的计算公式是什么呢? 3.修正久期计算损益的公式是什么?
回答(1)
最佳
苏学科2025-11-09 23:31:50
负债减少的计算基于修正久期对利率变动的敏感性刻画:修正久期的计算公式为修正久期(Modified Duration)= 麦考利久期 / (1 + 到期收益率 y),它衡量了利率每变化 1% 时,负债(或资产)价值的近似变动比例。计算损益的公式为价值变化 = - 修正久期 × 利率变化 × 初始价值,因此本题中负债价值因收益率上升而减少的金额为 “-12.5×1.2%×850 亿欧元”(负号表示利率上升时负债价值下降),通过这一计算得出负债减少的具体数值,再结合资产的市值变动(股市下跌 15%),最终可推导出年末盈余。
- 评论(0)
- 追问(2)
- 追问
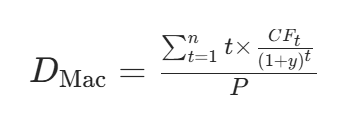
-
能说下麦考利久期的计算公式吗?以及相关的损益公式,不太记得了
- 追答
-
如图
评论
0/1000
追答
0/1000
+上传图片




