回答(1)
最佳
黄石2025-11-03 16:46:59
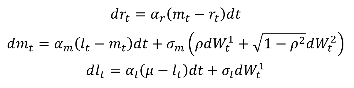
同学你好。见下图。考纲的要求是:Calculate changes in the short-term, medium-term, and long-term interest rate factors under the Gauss+ model,故这些公式都可能会考。对于中长期的界定,二级原版书定义中期为未来2年左右,长期为未来10年左右;短期没有明确说明,通常是一年以内。
- 评论(0)
- 追问(0)
评论
0/1000
追答
0/1000
+上传图片

