蛋同学2025-09-24 00:14:42
                烦请详细推导下第二个式子是如何推到第三个式子的,谢谢
回答(1)
                            
                                最佳
                            
                        
                        
                    
杨玲琪2025-09-24 12:36:09
                        同学你好,
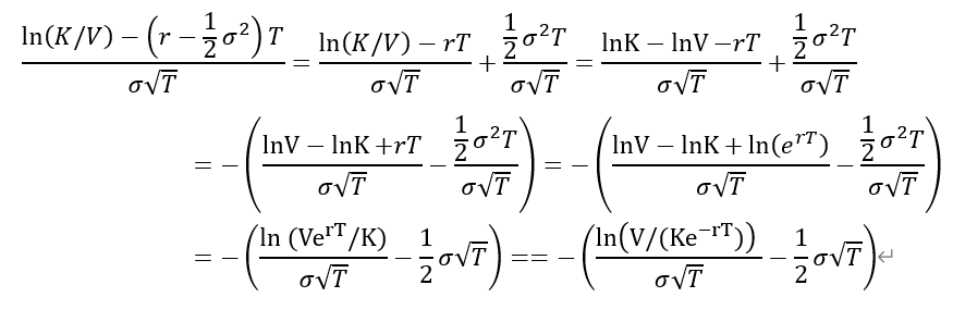
这里老师可能有笔误。具体推导详见附图。
希望能解答你的疑惑,加油!
- 评论(0)
 - 追问(0)
 
    评论
0/1000
追答
0/1000
+上传图片
                
            
                    
                

