138****47472023-10-12 13:17:54
为什么at par,c=y?
回答(1)
黄石2023-10-12 15:03:43
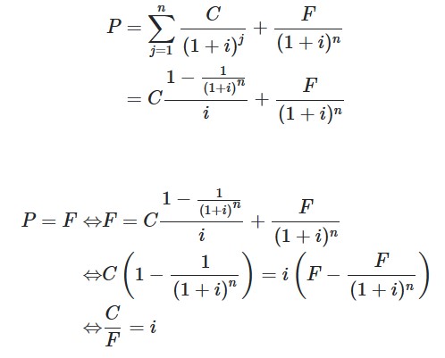
同学你好。这是根据债券的定价方法来看的。首先,Par bond指的是平价发行的债券(Price = Face Value),而Par rate指的则是Par bond的coupon rate。根据债券定价公式:P = Coupon_1/(1 + YTM) + Coupon_2/(1 + YTM)^2 + ... + (Coupon_N + Face Value)/(1 + YTM)^N,若P = Face Value,那么Coupon rate = YTM。从理解的角度出发,因为P = Face Value,所以持有债券的期间内不会获得任何price变动带来的收益率,故收益率应完全等于Coupon rate。因此,当债券Issued at par时,Coupon rate = YTM。从数学推导的角度来看,见下图。同学直接记住这一结论即可。
- 评论(0)
- 追问(0)
评论
0/1000
追答
0/1000
+上传图片


