天堂之歌

听歌而来,送我踏青云〜

您现在的坐在位置:首页>智汇问答>FRM问答

柒同学2023-10-11 09:46:40

老师好 请问这道题考的是哪里的知识点?

查看试题

回答(1)

黄石2023-10-11 15:10:32

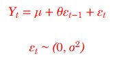
同学你好。这道题考察的是MA(1)模型的公式计算。公式见下图,将题目信息代入公式计算即可~需要注意的是题目如果没有给到长期均值mu的取值那么就默认为0,反之就代入题目给到的取值信息。

  • 评论(0
  • 追问(0
评论

精品推荐

评论

0/1000

追答

0/1000

+上传图片

    400-700-9596
    (每日9:00-21:00免长途费 )

    ©2026金程网校保留所有权利

    X

    注册金程网校

    验证码

    同意金程的《用户协议》
    直接登录:

    已有账号登录